1과목: 과목 구분 없음
1. 액체에 대한 기체 용해도 설명으로 옳지 않은 것은? (단, 액체와 기체는 반응하지 않는다)
2. 2mol의 질소 가스(N2)가 수소 가스(H2)와 비가역적으로 반응하여 모두 암모니아 가스(NH3)로 전환되었을 때, 소모된 수소 가스와 생성된 암모니아 가스의 질량[g]을 바르게 연결한 것은? (단, 질소(N)와 수소(H)의 원자량은 각각 14와 1이다)
3. 평면벽의 두께가 50cm이고 바깥 표면의 온도와 안쪽 표면의 온도가 각각 10°C와 20°C로 유지될 때, 벽을 통한 정상상태 열전달 플럭스(flux)[kJm-2h-1]는? (단, 벽의 열전도도는 1.0×10-4 kJm-1s-1K-1이고, 평면벽 두께 방향으로의 열전도만 고려한다)
4. 등온 회분식 반응기에서 A→2B 비가역 액상 기초 반응을 진행하였을 때, 1시간 뒤 B의 농도가 0.6molL-1로 측정되었다. 동일한 조건에서 A의 초기 농도만을 3배로 증가시켰을 때, 1시간 뒤 B의 농도[molL-1]는? (단, 반응 초기에는 순수한 A만 존재한다)
5. 등온 연속교반탱크반응기(CSTR)에서 A→B 비가역 액상 2차 반응을 진행한다. 유입되는 A의 초기 농도는 2molL-1이고, 부피 유속은 4Lmin-1로 일정할 때, 전환율 90%를 얻기 위해 필요한 반응기 부피[L]는? (단, 반응속도상수는 1Lmol-1min-1이다)
6. 물질전달에 대한 설명으로 옳지 않은 것은?
7. 압축성 유체의 흐름 속도가 음속보다 느릴 때, 노즐의 단면적이 감소하는 수평 수렴노즐에서 흐름 방향으로의 압력구배(dP/dx)와 속도구배(du/dx)의 부호를 바르게 연결한 것은? (단, 흐름은 열역학적 가역흐름이다)
8. 플러그흐름반응기(PFR)에 대한 설명으로 옳지 않은 것은?
9. 내경이 1m인 수평 원형관 내부를 40cms-1의 평균 유속으로 비압축성 뉴턴유체(Newtonian fluid)가 흐를 때, Fanning 마찰계수는? (단, 유체는 완전히 발달된 정상상태로 흐르고, 밀도와 점도는 각각 0.8gcm-3과 200cP이다)
10. 탈거탑에서 Murphree 효율(ηM)과 총괄 효율(ηO)이 같고 평형선과 조작선이 직선일 때, 평형선의 기울기는? (단, 액체유량과 증기유량은 각각 300kgh-1과 15kgh-1이고, ηM≠1 이다)
11. 원심펌프에서 나타날 수 있는 공동화(cavitation) 현상에 대한 설명으로 옳은 것은?
12. 초임계유체에 대한 설명으로 옳지 않은 것은?
13. 기체 분리막에 대한 설명으로 옳지 않은 것은?
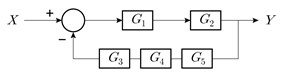
14. 다음 블록선도에서 Y의 식으로 옳은 것은?




15. 다음 가역반응이 평형상태에 있을 때, 화학평형이 오른쪽으로 이동하지 않는 조작은? (단, 정반응은 흡열반응이다)
16. 닫힌 계에서 기체가 다음과 같이 4단계의 열역학적 가역공정 사이클을 거칠 때, (가)~(다)의 값[J]을 바르게 연결한 것은? (단, ∆Ut는 계의 총 내부에너지 변화이고, 계로 유입되는 Q(열)와 W(일)는 양(+)의 값으로 나타낸다)
17. 2kW가 공급되는 닫힌 가열기 내에 채워진 물 30kg이 20°C에서 50°C로 승온되는 데 걸리는 시간[h]은? (단, 물의 비열은 4.0Jg-1K-1이고, 외부로의 열손실은 없다)
18. 등온 정압 플러그흐름반응기(PFR)에서 이산화탄소 가스(CO2)를 이용한 메테인 가스(CH4)의 비가역 개질 반응으로 수소 가스(H2)와 일산화탄소 가스(CO)가 생성된다. 유입되는 반응유체의 부피 조성은 20vol% CH4, 70vol% CO2, 10vol% N2이다. 한계반응물의 전환율이 50%일 때, 반응기 출구에서 CO2의 부피 조성[vol%]은? (단, 모든 기체는 이상기체이고, 부반응은 없다)
19. 등온 회분식 반응기에서 300K의 온도 조건으로 A→3B 비가역 액상 기초 반응을 1시간 진행하여 전환율 70%를 얻었다. 동일한 조건에서 반응 온도만을 600K로 증가시켰을 때, 전환율 70%를 얻기 위해 필요한 시간[h]은? (단, 기체상수는 8.3Jmol-1K-1이고, 반응의 활성화 에너지는 49.8kJmol-1로 일정하다)
20. 복사(radiation)에 대한 설명으로 옳지 않은 것은?