어업생산관리기사 필기 기출문제복원 (2011-06-12)

어업생산관리기사
(2011-06-12 기출문제)

목록

1과목: 어구학

1. 그물실의 굵기를 표시하는 방법으로서 무게 1Ib(453.6g)되는 올의 길이가 몇 타래(840 yards)인가에 따라서 표시하는 방법은?

  1. 데니어법
  2. 번수법
  3. 미터법
  4. 텍스법
(정답률: 알수없음)
profile_image
1

*오류신고 접수시 100포인트 지급해드립니다.

2. 다음 중 단섬유로 가장 많이 만들어지는 섬유는?

  1. PE(Polyethylene)
  2. PP(Polypropylene)
  3. PVA(Polyvinyl alcohol)
  4. PVD(Polyvinylidene chloride)
(정답률: 알수없음)
profile_image
1

*오류신고 접수시 100포인트 지급해드립니다.

3. 다음의 섬유 중 해수에 뜨는 것은?

  1. PA
  2. PES
  3. PP
  4. PVC
(정답률: 알수없음)
profile_image
1

*오류신고 접수시 100포인트 지급해드립니다.

4. 11절 그물코는 mm로 환산할 경우 얼마인가?(문제 오류로 정답이 정확하지 않습니다. 정답지를 찾지못하여 임의 정답 1번으로 설정하였습니다. 정답을 아시는 분께서는 오류 신고를 통하여 정답 입력 부탁 드립니다.)

  1. 10mm
  2. 20mm
  3. 30mm
  4. 40mm
(정답률: 알수없음)
profile_image
1

*오류신고 접수시 100포인트 지급해드립니다.

5. 다음 중 전기자극장치를 겸용할 때 가장 효과적인 어구는?

  1. 게 통발
  2. 새우 트롤
  3. 멸치 자망
  4. 청어 트롤
(정답률: 알수없음)
profile_image
1

*오류신고 접수시 100포인트 지급해드립니다.

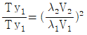
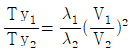
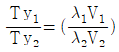
6. 그물 어구의 상사법칙에서 예인 속도를 V, 길이를 λ, x 및 y 방향의 장력을 각각 Tx, Ty 모형에는 첨자 1, 실물에는 첨자 2를 붙였을 때 가장 바르게 표현한 것은?

(정답률: 알수없음)
profile_image
1

*오류신고 접수시 100포인트 지급해드립니다.

7. 관성모멘트의 계산이 필요 없는 경우는?

  1. 제어용 모터로서 정속제어를 행할 때
  2. 등속도 운동 물체의 원심력을 구할 때
  3. 구동계 각 부의 강도와 강성을 구할 때
  4. 브레이크의 제동력을 결정할 때
(정답률: 알수없음)
profile_image
1

*오류신고 접수시 100포인트 지급해드립니다.

8. 전개판의 전개력과 조업의 편의를 위해서는 전개판 어떻게 경사하는 것이 좋은가?(문제 오류로 정답이 정확하지 않습니다. 정답지를 찾지못하여 임의 정답 1번으로 설정하였습니다. 정답을 아시는 분께서는 오류 신고를 통하여 정답 입력 부탁 드립니다.)

  1. 외측경사와 전방경사
  2. 내측경사와 전방경사
  3. 내측경사와 후방경사
  4. 외측경사와 후방경사
(정답률: 알수없음)
profile_image
1

*오류신고 접수시 100포인트 지급해드립니다.

9. 새우 트롤이 일반 저층 트롤과 다른 점에 대한 내용 중 가장 거리가 먼 것은?

  1. 후릿줄을 사용하지 않는다.
  2. 그물을 2개 동시에 끌 수도 있다.
  3. 시험그물(try net)을 사용한다.
  4. 전개판이 날개그물과 떨어져 있다.
(정답률: 알수없음)
profile_image
1

*오류신고 접수시 100포인트 지급해드립니다.

10. 오징어 채낚기 어법에서 집어등의 변천과정을 맞게 나열한 것은?

  1. 아세틸렌 집어등 → 백열등 → 할로겐등 → 메탈할라이드등
  2. 아세틸렌 집어등 → 백열등 → 메탈할라이드등 → 할로겐등
  3. 아세틸렌 집어등 → 메탈할라이드등 → 백열등 → 할로겐등
  4. 백열등 → 아세틸렌라이드등 → 할로겐등 → 메탈할라이드등
(정답률: 알수없음)
profile_image
1

*오류신고 접수시 100포인트 지급해드립니다.

11. 피쉬 펌프(fish pump)의 용도는?

  1. 어획물 이송
  2. 어구 조작
  3. 어군 탐색
  4. 어군 유집
(정답률: 알수없음)
profile_image
1

*오류신고 접수시 100포인트 지급해드립니다.

12. ( )에 가장 적합한 내용은?

  1. 초음파
  2. 가청음파
  3. 고주파
  4. 극초음파
(정답률: 알수없음)
profile_image
1

*오류신고 접수시 100포인트 지급해드립니다.

13. 기계의 역학 특성에 대한 용어 정의 중 틀린 것은?

  1. 에너지의 일은 할 수 있는 능력이다.
  2. 힘은 물체에 작용하여 그 운동 상태를 변화시키는 것이다.
  3. 관성이란 기계가 물체에 작용하는 힘의 작용점의 변위이다.
  4. 동력이란 단위시간 동안에 행해진 일의 양이다.
(정답률: 알수없음)
profile_image
1

*오류신고 접수시 100포인트 지급해드립니다.

14. 그물실의 신장도에 대한 설명 중 틀린 것은?

  1. 단섬유 그물실은 장섬유 그물실보다 신장도가 작다.
  2. 그물실의 꼬임이 적을수록 신장도는 작다.
  3. 그물실의 신장도는 구성올수의 수에 비례한다.
  4. 그물실의 신장도는 건습상태에 따라 달라지기도 한다.
(정답률: 알수없음)
profile_image
1

*오류신고 접수시 100포인트 지급해드립니다.

15. 어구설계의 순서 중에서 제일 끝에 결정하여야 할 것은?

  1. 어구 규모의 결정
  2. 어구 구조의 결정
  3. 구성 방법의 결정
  4. 구성 재료의 결정
(정답률: 알수없음)
profile_image
1

*오류신고 접수시 100포인트 지급해드립니다.

16. 어구의 재료에서 매듭 그물감과 비교해서 매듭 없는 그물감 중 관통 그물감의 특징이 아닌 것은?

  1. 그물감이 파단하면 그물실이 풀린다.
  2. 수리가 불편하다.
  3. 그물감의 항장력이 적다.
  4. 유수 저항이 작다.
(정답률: 알수없음)
profile_image
1

*오류신고 접수시 100포인트 지급해드립니다.

17. 발돌의 공기 중 무게를 W, 수중에서 받는 부력을 F, q부피를 V, 비중을 C, 해수의 밀도를 ρ라고 할 때 침강력은?

  1. F - W
  2. W
  3. Vρ - F
  4. VC - Vρ
(정답률: 알수없음)
profile_image
1

*오류신고 접수시 100포인트 지급해드립니다.

18. 트롤 어선에서 트롤 어구를 감아올리는 트롤 윈치(trawl winch)에 있어서 위치의 동력을 P, 예강(Warp)에 걸린ㄴ 장력이 양현 모두 같이 T이고, 예강을 감아올리는 속도를 v라고 할 때 T는?

(정답률: 알수없음)
profile_image
1

*오류신고 접수시 100포인트 지급해드립니다.

19. 수동 윈치를 1인이 인력으로 선회시키는 힘은?

  1. 2 ~ 10 kgf
  2. 12 ~ 20 kgf
  3. 22 ~ 30 kgf
  4. 32 ~ 40 kgf
(정답률: 알수없음)
profile_image
1

*오류신고 접수시 100포인트 지급해드립니다.

20. 360mm 지름의 구형 뜸의 공기 중 무게가 1.8kg 이라고 할 때 비중이 1인 수중에서의 부력은 약 얼마인가?

  1. 22.6 kg
  2. 23.8 kg
  3. 24.2 kg
  4. 26.4 kg
(정답률: 알수없음)
profile_image
1

*오류신고 접수시 100포인트 지급해드립니다.

2과목: 어법학

21. 새우를 어획하는 데 있어 비임트롤(beam trawl)로 하는 것이 오터 트롤(otter trawl)로 하는 것보다 유리한 경우는?

  1. 큰 망고가 요구되는 경우
  2. 그물이 대형인 경우
  3. 조업선이 소형선인 경우
  4. 새우가 부상해 있는 경우
(정답률: 알수없음)
profile_image
1

*오류신고 접수시 100포인트 지급해드립니다.

22. 다음 중 오징어 어업을 가장 잘 표현한 것은?

  1. 낚시어구, 주전성
  2. 낚시어구, 주광성
  3. 유자망어구, 주촉성
  4. 유자망어구, 주류성
(정답률: 알수없음)
profile_image
1

*오류신고 접수시 100포인트 지급해드립니다.

23. 유자망의 조업 시 일어나는 순대말이의 사고를 방지하기 위한 방법 중 틀린 것은?

  1. 그물을 구성할 때 뜸줄의 꼬임이 안정 되도록 할 것
  2. 부력을 너무 많이 가하지 말 것
  3. 발줄을 뜸 줄에 비하여 길게 하지 말 것
  4. 수심이 깊은 곳에 투망하지 말 것
(정답률: 알수없음)
profile_image
1

*오류신고 접수시 100포인트 지급해드립니다.

24. 다음 어법 중 하나의 어구에 가장 많은 종류의 어종이 섞여서 어획되는 것은?

  1. 주낙
  2. 유자망
  3. 저인망
  4. 선망
(정답률: 알수없음)
profile_image
1

*오류신고 접수시 100포인트 지급해드립니다.

25. 다음 어법 중 하나의 어구에 가장 많은 종류의 어종이 섞여서 어획되는 것은?

  1. 잉어, 붕어
  2. 미꾸라지, 뱀장어
  3. 민어, 조기
  4. 쥐치 검복
(정답률: 알수없음)
profile_image
1

*오류신고 접수시 100포인트 지급해드립니다.

26. 다랑어 건착망의 조업 방법에 대한 설명 중 틀린 것은?

  1. 외두리 방식이다.
  2. 어포부(쌈지)의 반대쪽에서부터 양망한다.
  3. 집어등으로 어군을 집어한다.
  4. 동력 활차(power block)에 의해 양망한다.
(정답률: 알수없음)
profile_image
1

*오류신고 접수시 100포인트 지급해드립니다.

27. 쌍끌이 기선 저인망의 끌멍에가 하는 역할은?

  1. 어선의 회두가 자유롭도록
  2. 어선의 전개판의 움직임이 자유롭도록
  3. 어선의 종동요를 줄이도록
  4. 어선의 횡동요를 줄이도록
(정답률: 알수없음)
profile_image
1

*오류신고 접수시 100포인트 지급해드립니다.

28. 예망어구에 포위된 고기가 이동하는 그물코나 줄류 등을 시각 목표로 정하고 그물의 진행방향과 같은 방향으로 이동하는 것은?

  1. 유동자극 반응
  2. 시각운동 반응
  3. 추종 반응
  4. 전향 반응
(정답률: 알수없음)
profile_image
1

*오류신고 접수시 100포인트 지급해드립니다.

29. 유자망의 대상 어족으로 적합하지 않는 것은?

  1. 꽁치
  2. 삼치
  3. 갈치
  4. 멸치
(정답률: 알수없음)
profile_image
1

*오류신고 접수시 100포인트 지급해드립니다.

30. 다랑어 선망의 어로방법으로 바르게 설명한 것은?

  1. 탐어방법은 주로 어군탐지기, 소나 등의 어탐장비를 쓴다.
  2. 집어방법은 주광성을 이용한 수상, 수중집어등을 쓴다.
  3. 조업시간은 주로 주간이며, 어군은 고성능 망원경 혹은 헬리콥터를 이용하여 발견한다.
  4. 어획물은 운반선에 적재하며 물얼음을 써서 빙장한다.
(정답률: 알수없음)
profile_image
1

*오류신고 접수시 100포인트 지급해드립니다.

31. 쌍끌이 기선 저인망의 예망 중 예행점이 좌우현으로 자유롭게 이동할 수 있도록 해주는 장치는?

  1. 끌줄 롤러
  2. 토잉블록
  3. 끌멍에
  4. 선미 데릭
(정답률: 알수없음)
profile_image
1

*오류신고 접수시 100포인트 지급해드립니다.

32. 자망어법으로서 잡을 때 저층 고정자망어업을 써서 잡는 것은?

  1. 명태
  2. 꽁치
  3. 조기
  4. 고등어
(정답률: 알수없음)
profile_image
1

*오류신고 접수시 100포인트 지급해드립니다.

33. 일반어류가 주간에 어구의 존재를 식별하는데 가장 큰 역할을 하는 감각기관은?

  1. 시각
  2. 청각
  3. 후각
  4. 측선기관
(정답률: 알수없음)
profile_image
1

*오류신고 접수시 100포인트 지급해드립니다.

34. 쌍끌이 기선저인망에서 예망속도가 커질 경우에 나타나는 가장 큰 변화는?

  1. 망촉이 감소한다.
  2. 망고가 감소한다.
  3. 그물코에 고기가 꽂히기 쉬워진다.
  4. 끝자루가 부상한다.
(정답률: 알수없음)
profile_image
1

*오류신고 접수시 100포인트 지급해드립니다.

35. 우리나라 남해안에서 주로 멸치를 대상으로 이루어지는 어업은?

  1. 정치망 어업
  2. 주낙 어업
  3. 안강망 어업
  4. 권현망 어업
(정답률: 알수없음)
profile_image
1

*오류신고 접수시 100포인트 지급해드립니다.

36. 다음 중 통발어업의 장점과 가장 거리가 먼 것은?

  1. 다른 어업에 비해 조업 방법이 매우 간편하다.
  2. 조업 자체가 배의 속력, 기관 마력 등에 큰 제약을 받지 않는다.
  3. 활어 상태로 어획하므로 어가가 높다.
  4. 표층, 증층 및 저층 어느 곳에서도 조업이 가능하다.
(정답률: 알수없음)
profile_image
1

*오류신고 접수시 100포인트 지급해드립니다.

37. 건착망선의 양망 시 죔줄을 죄는 속도를 조절할 때 고려해야 하는 오인과 가장 거리가 먼 것은?

  1. 그물의 침강속도
  2. 포위된 어군의 깊이와 속도
  3. 어장의 수심과 저질
  4. 어선의 선속
(정답률: 알수없음)
profile_image
1

*오류신고 접수시 100포인트 지급해드립니다.

38. 다음 중 횟감으로 사용되는 방어를 어획하는 가장 주된 어법에 이용되는 것은?

  1. 정치망
  2. 주낙
  3. 건착망
  4. 중층트롤
(정답률: 알수없음)
profile_image
1

*오류신고 접수시 100포인트 지급해드립니다.

39. 다음 중 기선저인망어업의 주 대상어종이 아닌 것은?

  1. 명태
  2. 대구
  3. 멸치
  4. 갈치
(정답률: 알수없음)
profile_image
1

*오류신고 접수시 100포인트 지급해드립니다.

40. 다음 중 불빛(집어등)을 이용하여 어획할 수 없는 어종은?

  1. 오징어
  2. 갈치
  3. 멸치
  4. 명태
(정답률: 알수없음)
profile_image
1

*오류신고 접수시 100포인트 지급해드립니다.

3과목: 수산자원학 및 어업관리학

41. 서석해역의 수용능력이 1000톤이고, 현재의 자원량이 1000톤이면 자연증가량은?

  1. 0톤
  2. 10톤
  3. 50톤
  4. 100톤
(정답률: 알수없음)
profile_image
1

*오류신고 접수시 100포인트 지급해드립니다.

42. TAC제도의 성격을 바르게 설명한 것은?

  1. TAC제도는 노력량 규제를 목표로 한 방법이다.
  2. TAC제도는 입구규제 방식이다.
  3. TAC제도는 출구규제 방식이다.
  4. TAC제도는 어선수 제한 방법이다.
(정답률: 알수없음)
profile_image
1

*오류신고 접수시 100포인트 지급해드립니다.

43. 다음 어류 중에서 한류성 어종은?

  1. 멸치
  2. 정어리
  3. 전어
  4. 청어
(정답률: 알수없음)
profile_image
1

*오류신고 접수시 100포인트 지급해드립니다.

44. 표지방류 개체수(X)가 10000마리, 재포개체수(x)가 1586마리, 어획개체수 (C)가 12.4×106 마리일 때 방류시의 자원개체수 (N)는?

  1. 85.3 ×106 마리
  2. 94.2 ×106 마리
  3. 78.2 ×106 마리
  4. 63.7 ×106 마리
(정답률: 알수없음)
profile_image
1

*오류신고 접수시 100포인트 지급해드립니다.

45. Bertalanffy 성장식에 대한 설명으로 틀린 것은?

  1. 초기의 성장단계에 적합한 식이다.
  2. 1분자 반응식이라고도 한다.
  3. 그 가정이 타당하여 가장 많이 이용되는 성장식이다.
  4. Beverton과 Holt가 적정어획이론를 확립시킬 때 이용한 성장식이다.
(정답률: 알수없음)
profile_image
1

*오류신고 접수시 100포인트 지급해드립니다.

46. 다랑어 어류 중 가장 깊은 곳에 분포하는 어종은?

  1. 눈다랑어
  2. 황다랑어
  3. 가다랑어
  4. 날개다랑어
(정답률: 알수없음)
profile_image
1

*오류신고 접수시 100포인트 지급해드립니다.

47. Selection span은 다음의 그림에서 어느 범위를 말하는가?

  1. L0 ~ L50
  2. L50 ~ L100
  3. L0 ~ L100
  4. L25 ~ L75
(정답률: 알수없음)
profile_image
1

*오류신고 접수시 100포인트 지급해드립니다.

48. UN 해양법 협약 중 연안국이 자국의 어획능력과 타국의 생물학적 허용어획량을 결정할 권리를 부여한 내용을 담고 있는 규정은?

  1. 대륙붕에 관한 규정
  2. 배타적 경제수역에 관한 규정
  3. 영해와 접속수역에 관한 규정
  4. 해양환경의 보호와 보전에 관한 규정
(정답률: 알수없음)
profile_image
1

*오류신고 접수시 100포인트 지급해드립니다.

49. 어업관리의 수단에는 기술적 수단 어업노력량 통제 순다. 어획량 통제 수단 등이 있다. 다음 중 어획량 통제 수단에 해당되지 않는 것은?

  1. 체장 및 어종(성별)의 제한
  2. TAC
  3. 개별 할당량
  4. 개별 어선별 어획량 제한
(정답률: 알수없음)
profile_image
1

*오류신고 접수시 100포인트 지급해드립니다.

50. 어업관리에 있어서 할당량을 설정할 경우 MSY보다 낮은 값을 사용하는 이유로 가장 적합한 것은?

  1. 사용자료의 산뢰성이 높이 때문이다.
  2. 사용모델의 변수가 많기 때문이다.
  3. 계산과정에서의 오차가 있을 수 있기 때문이다.
  4. 사용모델의 가정이 현실적이기 때문이다.
(정답률: 알수없음)
profile_image
1

*오류신고 접수시 100포인트 지급해드립니다.

51. 트롤선의 선속이 5노트, 전개된 그물폭이 8m, 어획능률이 0.5, 시간당 평균어획량이 50kg, 전체분포해역의 면적이 1000km2일 경우 트롤조사법에 의하여 추정된 자원량은?

  1. 약 1257 ton
  2. 약 1315 ton
  3. 약 1350 ton
  4. 약 1413 ton
(정답률: 알수없음)
profile_image
1

*오류신고 접수시 100포인트 지급해드립니다.

52. 다음 중 총허용어획량 결정에 기본이 되는 것은?

  1. IQ
  2. ITQ
  3. ADC
  4. ABC
(정답률: 알수없음)
profile_image
1

*오류신고 접수시 100포인트 지급해드립니다.

53. 다음 중 TAC의 할당방식 중에서 어업관리의 자율적 시장적 접근을 도입한 방식은?

  1. IVQ
  2. IFQ
  3. ITQ
  4. CDQ
(정답률: 알수없음)
profile_image
1

*오류신고 접수시 100포인트 지급해드립니다.

54. 다음 중 수명이 가장 긴 어종은?

  1. 뱅어
  2. 숭어
  3. 연어
  4. 참돔
(정답률: 알수없음)
profile_image
1

*오류신고 접수시 100포인트 지급해드립니다.

55. B(Biomass estimation), M(MSY estimation), A(ABC estimation), T(TAC determination)라 할 때 TAC 평가를 위한 절차를 바르게 나타낸 것은?

  1. B → M → A → T
  2. M → A → B → T
  3. B → T → A → M
  4. M → B → T → A
(정답률: 알수없음)
profile_image
1

*오류신고 접수시 100포인트 지급해드립니다.

56. 다음 중 200해리 배타적 경제수역(EEZ)에 관한 설명 중 잘못된 것은?(문제 오류로 정답이 정확하지 않습니다. 정답지를 찾지못하여 임의 정답 1번으로 설정하였습니다. 정답을 아시는 분께서는 오류 신고를 통하여 정답 입력 부탁 드립니다.)

  1. 배타적 경제수역은 영해로서의 자위를 전제를 하고 있다.
  2. 연안국의 자원관할권이 배타적으로 행사될 수 있다.
  3. 항해의 자유가 보장된다.
  4. 해저케이블 및 파이프라인의 설치가 보장되는 수역이다.
(정답률: 알수없음)
profile_image
1

*오류신고 접수시 100포인트 지급해드립니다.

57. 자원의 평형상태란 어느 경우를 말하는가?

  1. 어획량과 자연증가량이 같게 유지될 때
  2. 어획량과 성장량이 같게 유지될 때
  3. 어획량과 자연사망량이 같게 유지될 때
  4. 어획량이 매년 일정하게 유지될 때
(정답률: 알수없음)
profile_image
1

*오류신고 접수시 100포인트 지급해드립니다.

58. 수산자원 생물 중 어업생물이 특히 갖추어야 할 요건은?

  1. 다양성
  2. 유용성
  3. 경제성
  4. 재생산성
(정답률: 알수없음)
profile_image
1

*오류신고 접수시 100포인트 지급해드립니다.

59. 다음의 어류 중 배지느러미와 등지느러미를 함께 갖지 않는 것은?

  1. 가오리
  2. 곰치
  3. 달강어
  4. 뱀장어
(정답률: 알수없음)
profile_image
1

*오류신고 접수시 100포인트 지급해드립니다.

60. 어업관리의 기술적 수단에 해당하지 않는 것은?

  1. 체장 및 어종의 제한
  2. 어기의 제한
  3. 총 허용어획량 제한
  4. 어장의 제한
(정답률: 알수없음)
profile_image
1

*오류신고 접수시 100포인트 지급해드립니다.

4과목: 어업어장정보론

61. 영양염류에 대한 설명 중 틀린 것은?

  1. 해수 중에 용존하고 잇는 질산염, 인산염, 규산염, 등을 말한다.
  2. 열대 해역의 표층에는 많으나 대류 작용이 왕성한 온대나 한대 해역에는 적다.
  3. 담수의 유입이 많은 큰 강의 하구와 같은 연안역에는 많고 외양에는 적다.
  4. 북반구 중위도 해역에서는 현저한 계절 변화를 한다.
(정답률: 알수없음)
profile_image
1

*오류신고 접수시 100포인트 지급해드립니다.

62. 다음 중 쿠로시오(Kuroshio)와 가장 비슷한 해류는?

  1. 황해난류
  2. 리만해류
  3. 걸프 스트림(Gulf Stream)
  4. 오야시오(Oyashio)
(정답률: 알수없음)
profile_image
1

*오류신고 접수시 100포인트 지급해드립니다.

63. 조경역에서 좋은 어장이 형성되는 이유에 해당되지 않는 것은?

  1. 와동 현상의 발달에 의한 고생산의 유지
  2. 부유물의 집적효과
  3. 생활 영역의 장벽효과
  4. 연직 구조의 성층효과
(정답률: 알수없음)
profile_image
1

*오류신고 접수시 100포인트 지급해드립니다.

64. 적조를 일으키는 환경요인이 아닌 것은?

  1. 계속적으로 덥고 맑은 날씨의 지속
  2. 원활한 조류소동
  3. 물의 정체
  4. 영양염의 유입과 부영양화
(정답률: 알수없음)
profile_image
1

*오류신고 접수시 100포인트 지급해드립니다.

65. 다음 중 용승어장이 아닌 곳은?

  1. 캘리포니아 해류역의 참다랑어 어장
  2. 알제리연안의 멸치 어장
  3. 페루해류역의 멸치 어장
  4. 베링해 및 오호츠크해 명태어장
(정답률: 알수없음)
profile_image
1

*오류신고 접수시 100포인트 지급해드립니다.

66. 두 물체간의 거리가 (L), 음속 (C), 펄스폭을 (τ)라고 하면 두 물체를 식별할 수 있는 가능한 거리 (S)는 얼마 이상인가?

(정답률: 알수없음)
profile_image
1

*오류신고 접수시 100포인트 지급해드립니다.

67. 어황에 대한 설명 중 가장 올바른 것은?

  1. 바다의 상태를 말한다.
  2. 구성 요소로서 수온, 염분, 플랑크톤 분포 등이 있다.
  3. 어획의 변동상황을 말한다.
  4. 어구가 설치되어 있는 상황을 말한다.
(정답률: 알수없음)
profile_image
1

*오류신고 접수시 100포인트 지급해드립니다.

68. 현재 어·해황 정보의 수십이 이용되고 있는 해면온도의 리모트 센싱 기술에서 주로 사용되고 있는 전자파는?

  1. γ(감마)선 전자파
  2. X선 전자파
  3. 자외선 전자파
  4. 가시역 및 열적외역 전자파
(정답률: 알수없음)
profile_image
1

*오류신고 접수시 100포인트 지급해드립니다.

69. 어장 형성기구에 따라 분류한 어장의 종류는?

  1. 표층어류, 중층어장, 저증어장
  2. 연안어장, 근해어장, 원양어장
  3. 동해어장, 서해어장, 남해어장
  4. 조경어장, 용중어장, 와류어장
(정답률: 알수없음)
profile_image
1

*오류신고 접수시 100포인트 지급해드립니다.

70. 다음 중 갈치의 어획이 가장 많은 시기는?

  1. 6월경
  2. 8월경
  3. 10월경
  4. 12월경
(정답률: 알수없음)
profile_image
1

*오류신고 접수시 100포인트 지급해드립니다.

71. 어군 탐지기의 송·수파기에 대한 설명 중 틀린 것은?

  1. 송파기는 전기적 에너지를 기계적 에너지로 바꾸고, 이것을 다시 음향 에너지로 바꾸어 수중으로 보내는 역할을 하는 변환기이다.
  2. 송·수파기에서 발사된 초음파 신호가 수중으로 전파되어 갈 때, 음파의 세기는 진동면에서 수평인 방향에서 가장 강하다.
  3. 지향각은 송·수파기의 방사면의 면적이 클수록 작게 된다.
  4. 지향각이 작을수록 분해 성능이 좋아진다.
(정답률: 알수없음)
profile_image
1

*오류신고 접수시 100포인트 지급해드립니다.

72. 해수중의 용존산소량이 어류에 미치는 영향에 대한 설명 중 옳은 것은?

  1. 산소가 많으면 성장이 느리다.
  2. 호흡 및 우영속도에 영향을 미치지 않는다.
  3. 어란과 자어의 발생에 영향을 준다.
  4. 산소가 많으면 먹이 획득이 어려워진다.
(정답률: 알수없음)
profile_image
1

*오류신고 접수시 100포인트 지급해드립니다.

73. 해수 중 정보수집 및 전달수단으로써 전파나 빛보다 음파를 이용하는 이유는?

  1. 경제성이 좋기 때문에
  2. 측정하기 쉽기 때문에
  3. 시스템이 간단하기 때문에
  4. 먼 거리까지 전파되기 때문에
(정답률: 알수없음)
profile_image
1

*오류신고 접수시 100포인트 지급해드립니다.

74. 다음 중 쿠로시오(Kuroshio)와 오야시오(Oyashio)해류의 경계역에서 잘 잡히는 다랑어는?

  1. 날개다랑어
  2. 참다랑어
  3. 눈다랑어
  4. 황다랑어
(정답률: 알수없음)
profile_image
1

*오류신고 접수시 100포인트 지급해드립니다.

75. 서치라이터 소나(Search light sonar)와 스캐닝 소나(Scanning sonar)가 크게 다름 점은?

  1. 송·수파기의 장비 위치
  2. 송·수파기의 지향 특성
  3. 송·수파기의 수파 감도
  4. 송·수파기의 진동자 구조
(정답률: 알수없음)
profile_image
1

*오류신고 접수시 100포인트 지급해드립니다.

76. 다중반사에 대한 설명 중 틀린 것은?

  1. 어군탐지기의 강도가 높고, 비교적 수심이 얕을 때 나타나기 쉽다.
  2. 해저의 기록이 2중, 3중으로 나타나는 현상이고, 해저가 단단할수록 나타나기 쉽다.
  3. 2회째, 3회재의 해저의 다중반사 기록은 각각 실제 수심의 4배, 6배의 깊이로 나타난다.
  4. 초음파 펄스가 해저와 수면사이를 2회, 3회 왕복함에 따라 발생하는 현상이다.
(정답률: 알수없음)
profile_image
1

*오류신고 접수시 100포인트 지급해드립니다.

77. NOAA 위성의 관측고도는 다음 중 어느 것인가?

  1. 700 km
  2. 840 km
  3. 2900 km
  4. 3600 km
(정답률: 알수없음)
profile_image
1

*오류신고 접수시 100포인트 지급해드립니다.

78. 조류계(유속계)를 양망시간의 예측 망구차단 시간 예측, 어구부설위치 사전 조사 등에 많이 이용되고 있는 어업은?

  1. 선망 어업
  2. 저예망 어업
  3. 정치망 어업
  4. 다랑어 연승 어업
(정답률: 알수없음)
profile_image
1

*오류신고 접수시 100포인트 지급해드립니다.

79. 정어리에 대한 설명 중 맞는 것은?

  1. 정어리는 난류성, 군집성 어족이며, 연안에는 잘 접근하지 않는 고도 회유성 어족이다.
  2. 주로 중·표층에 서식하며, 유자망에 걸리는 위치는 주로 그물의 윗부분이다.
  3. 우리나라에서는 주로 선망으로 어획하며, 연안의 정치망으로도 어획한다.
  4. 정어리는 협온성 어족으로 서식 수온은 20~24℃ 정도이다.
(정답률: 알수없음)
profile_image
1

*오류신고 접수시 100포인트 지급해드립니다.

80. 일반적으로 저기압 통과 시 동해 연안 정치망에 많이 입망하는 어류 중 대표적인 것은?

  1. 고등어
  2. 넙치
  3. 방어
  4. 삼치
(정답률: 알수없음)
profile_image
1

*오류신고 접수시 100포인트 지급해드립니다.

5과목: 해양수산법규

81. 수산업법령상 다음은 어떤 근해어업의 종류에 해당하는가?

  1. 대형트롤어업
  2. 대형선망어업
  3. 소형선망어업
  4. 근해자망어업
(정답률: 알수없음)
profile_image
1

*오류신고 접수시 100포인트 지급해드립니다.

82. 수산업법상 기르는 어업의 육성에 관한 설명으로 틀린 것은?(문제 오류로 정답이 정확하지 않습니다. 정답지를 찾지못하여 임의 정답 1번으로 설정하였습니다. 정답을 아시는 분께서는 오류 신고를 통하여 정답 입력 부탁 드립니다.)

  1. 농림수산식품부장관은 기르는어업의 육성·발전을 위하여 5년마다 기르는어업 발전 기본계획을 세워야 한다.
  2. 시·도시사는 기본계획에 따라 매년 지역실정에 맞는 기르는어업 발전 시행계획을 세워야 한다.
  3. 농림수산식품부장관 또는 시·도지사는 기르는어업 발전 기본계획 또는 기르는어업 발전 시행계획의 수립에 필요한 기초조사를 실시해야 한다.
  4. 행정관청이 기르는어업 개발지구를 지정하거나 그 지정을 해제한 때에는 이를 고시하여야 한다.
(정답률: 알수없음)
profile_image
1

*오류신고 접수시 100포인트 지급해드립니다.

83. 어선법의 목적과 가장 거리가 먼 것은?

  1. 어선의 건조·등록·설비·검사 및 조사·연구에 관한 사항을 규정
  2. 수산자원의 조성 및 보호
  3. 어선의 효율적인 관리와 안정성 확보 및 어선의 성능 항상 도모
  4. 어업생산력의 증진
(정답률: 알수없음)
profile_image
1

*오류신고 접수시 100포인트 지급해드립니다.

84. 어선법상 어선의 개조에 해당하지 않는 것은?

  1. 어선의 무선설비를 변경하는 것
  2. 어선의 길이·너비·깊이를 변경하는 것
  3. 어선의 추진기관을 새로 설치하거나 추진기관의 종류 또는 출력을 변경하는 것
  4. 어선의 용도를 변경하거나 어업의 종류를 변경할 목적으로 어선의 구조나 설비를 변경하는 것
(정답률: 알수없음)
profile_image
1

*오류신고 접수시 100포인트 지급해드립니다.

85. 어선법상 최초로 항행의 목적에 사용하는 때 또는 어선검사증서의 유효기간이 만료된 때 행하는 정밀한 검사는?

  1. 정기검사
  2. 중간검사
  3. 특별검사
  4. 임시항행검사
(정답률: 알수없음)
profile_image
1

*오류신고 접수시 100포인트 지급해드립니다.

86. 수산업법상 시·도지사 또는 시장·군수·구청장은 외국인이나 외국 법인에 대하여 어업면허 또는 허가를 하고자 할 때에는 미리 누구와 협의하여야 하는가?

  1. 대통령
  2. 국무총리
  3. 국토해양부장관
  4. 농립수산식품부장관
(정답률: 알수없음)
profile_image
1

*오류신고 접수시 100포인트 지급해드립니다.

87. 완전한 무해통항권이 인정되는 선박의 유형은?

  1. 상선
  2. 어선
  3. 잠수함
  4. 핵추진선박
(정답률: 알수없음)
profile_image
1

*오류신고 접수시 100포인트 지급해드립니다.

88. 수산업법상 어업권을 보호받을 목적으로 보호구역을 둘 수 있는 어업은?

  1. 유자망 어업
  2. 안강망 어업
  3. 정치망 어업
  4. 권현망 어업
(정답률: 알수없음)
profile_image
1

*오류신고 접수시 100포인트 지급해드립니다.

89. UN해양법협약상 공해규정에 관한 설명으로 옳은 것은?

  1. 공해는 연안국에게는 개방되지만 내륙국에는 개방되지 아니한다.
  2. 공해에서는 항행의 자유와 상공비행의 자유는 허락되지만 해저전선 부설의 자유는 없다.
  3. 어떠한 국가도 공해의 어느 부분을 유효하게 주권하에 둘 수 없다.
  4. 내륙국은 자국 국기를 게양한 선박을 항행시킬 권리를 갖지 못한다.
(정답률: 알수없음)
profile_image
1

*오류신고 접수시 100포인트 지급해드립니다.

90. 수산업법에서 사용하는 용어의 정의로 옳은 것은?

  1. 어업자란 수산물가공업자를 위하여 수산동식물을 포획·채취 또는 양식하는 일에 종사하는 자를 말한다.
  2. 어장이란 신고 후 어업을 하는 일정한 수면을 말한다.
  3. 어업권이란 신고 후 어업을 경영할 수 있는 권리를 말한다.
  4. 어업인이란 어업자와 어업종사자를 말한다.
(정답률: 알수없음)
profile_image
1

*오류신고 접수시 100포인트 지급해드립니다.

91. 어선법규상 어선명칭 및 선적항을 표시하는 글자의 크기는 몇 센티미터 이상이어야 하는가?

  1. 5
  2. 10
  3. 15
  4. 20
(정답률: 알수없음)
profile_image
1

*오류신고 접수시 100포인트 지급해드립니다.

92. 선박법상 대한민국 선박이 아닌 것은?

  1. 국유 또는 공유의 선박
  2. 대한민국 국민이 소유한 선박
  3. 대한민국의 법률에 따라 설립된 상사법인이 소유하는 선박
  4. 대한민국에 주된 사무소를 둔 대한민국의 법률에 따라 설립된 상사법인 외이 법인으로서 공동대표 중 1인이 대한민국 국민인 경우에 그 법인이 소유하는 선박
(정답률: 알수없음)
profile_image
1

*오류신고 접수시 100포인트 지급해드립니다.

93. 수산업법상 면허어업에 관한 설명으로 틀린 것은?

  1. 어업권자가 면허를 받은 사항 중 성명·주소 등 법령으로 정하는 사항을 변경하려면 시장·군수·구청자에게 변경 승인을 받아야 한다.
  2. 어촌계나 지구별수협이 가지고 있는 어업권을 담보로 제공할 수 없다.
  3. 어업권을 담보로 제공할 때에 그 어장에 설치한 공작물은 어업권에 딸려 어업권과 하나가 된 것으로 본다.
  4. 어업권은 등록한 권리자의 동의 없이 분할·변경 또는 포기할 수 없다.
(정답률: 알수없음)
profile_image
1

*오류신고 접수시 100포인트 지급해드립니다.

94. 어선법상 등록시 선박국적증서를 발급하여야 하는 어선 기준은?

  1. 총톤수 20톤 이상인 어선
  2. 총톤수 10톤 이상인 어선
  3. 총톤수 5톤 이상인 어선
  4. 총톤수 5톤 미만인 무동력 어선
(정답률: 알수없음)
profile_image
1

*오류신고 접수시 100포인트 지급해드립니다.

95. 직선기선에 의한 영해기선 설정요건으로 틀린 것은?

  1. 해안의 일반적인 방향으로부터 현저히 벗어나게 설정하지 않을 것
  2. 등대 등의 항구적 시설이 설치되지 않은 간출지는 기점에 포함시킬 것
  3. 타국의 영해를 공해나 배타적 경제수역으로부터 차단시키지 않을 것
  4. 관계지역의 특별한 경제적 이해관계를 고려할 것
(정답률: 알수없음)
profile_image
1

*오류신고 접수시 100포인트 지급해드립니다.

96. 배타적 경제수역 내에서 연안국이 주관적 권리를 행사할 수 있는 사항은?

  1. 인공섬의 설치 및 사용
  2. 어업자원의 보존 및 관리
  3. 해양과학 조사활동
  4. 해양환경의 보전 활동
(정답률: 알수없음)
profile_image
1

*오류신고 접수시 100포인트 지급해드립니다.

97. 수산업법령상 수산기술자에 해당하지 않는 자는?

  1. 어로기능사 이상의 자격을 취득한 사람
  2. 국가 또는 지방자치단체의 행정직 공무원으로 5년 이상 근무한 사람
  3. 수산계 고등학교 이상의 학교를 졸업한 사람
  4. 어업인후계자로서 농림수산식품부장관이 지정하는 전문기술교육을 마친 사람
(정답률: 알수없음)
profile_image
1

*오류신고 접수시 100포인트 지급해드립니다.

98. 연안국의 영해 상공에 대한 법적 지위를 가장 잘 나타낸 것은?

  1. 우선적 관할권
  2. 배타적 주권
  3. 포괄적 관할권
  4. 보존권
(정답률: 알수없음)
profile_image
1

*오류신고 접수시 100포인트 지급해드립니다.

99. 수산업법상 어업권의 취득 시점은?

  1. 어업권 어업을 개시한 때
  2. 어업권 어업의 면허를 받을 때
  3. 어업권을 어업권원부에 등록한 때
  4. 어업권 어업의 면허를 신청한 때
(정답률: 알수없음)
profile_image
1

*오류신고 접수시 100포인트 지급해드립니다.

100. 선박법상 총톤수에 관한 설명으로 옳은 것은?(문제 오류로 정답이 정확하지 않습니다. 정답지를 찾지못하여 임의 정답 1번으로 설정하였습니다. 정답을 아시는 분께서는 오류 신고를 통하여 정답 입력 부탁 드립니다.)

  1. 「1969년 선박톤수특정에관한 국제협약」및 협약의 부속서에 따라 주로 국제항해에 종사하는 선박에 대하여 그 크기를 나타내기 위하여 사용되는 지표를 말한다.
  2. 우리나라의 해사에 관한 법령을 적용할 때 선박의 크기를 나타내기 위하여 사용되는 지표를 말한다.
  3. 「1969년 선박톤수특정에관한 국제협약」및 협약의 부속서에 따라 여객 또는 화물의 운송용으로 제공되는 선박 안에 있는 장소의 크기를 나타내기 위하여 사용되는 지표를 말한다.
  4. 항행의 안전을 확보할 수 있는 한도에서 선박의 여객 및 화물 등의 최대적재량을 나타내기 위하여 사용되는 지표를 말한다.
(정답률: 알수없음)
profile_image
1

*오류신고 접수시 100포인트 지급해드립니다.

< 이전회차목록